Revisa los problemas siguientes:
Problema 1
Problema 2
En el segundo video, el expositor plantea un método diferente a los trabajados en clase (para los ejercicios 1; 2 y 4). ¿De qué manera resolverías tú estos problemas? Explica tu procedimiento.
(En el cuarto problema cambia el valor de la hipotenusa por 5, en lugar de 6)
En este blog, podremos revisar los conceptos y procedimientos estudiados en la clase de Matemática cada semana gracias al aporte de las compañeras de aula de 2do C!
martes, 12 de noviembre de 2013
lunes, 7 de octubre de 2013
Fracciones
Fracciones
Integrantes:
Andrea Gazzo
Alessandra Rodriguez-Mariategui
Alessandra Takashima
Mariana Vasquez
Isabella Perez
martes, 1 de octubre de 2013
Repaso para el examen progresivo
1: Inecuaciones
BIEN RESUELTO
BIEN RESUELTO
BIEN RESUELTO
2: Ecuaciones
BIEN RESUELTO
En una juguetería donde se venden
bicicletas y triciclos, Percy dijo: “hay 60 llantas”. Oscar
agregó: “Hay 5 bicicletas más que triciclos, ¿cuántas bicicletas hay?
Bicicletas: x
Triciclos: y
BIEN RESUELTO. SOLO FALTA DAR LA RESPUESTA DEL NÚMERO DE BICICLETAS (X): 15 BICICLETAS
3: Productos notables
EN LA c) ES 0,09m2
4: Factorizacion
EN LA PRIMERA FALTA SEGUIR FACTORIZANDO
EN LA SEGUNDA HAY ALGO QUE NO CUADRA
EN LA TERCERA FALTA OPERAR LOS PARÉNTESIS. RESPUESTA: (4m - n)(2m + n)
BIEN RESUELTO
Critina Fontenoy, Gabriela Gaber, Belen Gonzalez, Anneliesse Indacochea y Malu Muñoz
martes, 24 de septiembre de 2013
productos notables y tirangulo de pascal
b) (x + 20)(x – 4) = x2+16x-80
Formula: Producto de dos binomios con un termino común
c) (p3
+ 7m)2 = p6 +14 mp3+49m2
Formula: Cuadrado del binomio suma
d) (x3 + 5y)2 + (x3
– 5y)2 =
2x6+25y4
formula: (a+b)2 =
A2+2ab+b2
Formula 2: (a-b)2 =A2-2ab+b2
e) (m + 3)2 – (m – 3)2 =
m2+6m+9-(m2-6m+9)
m2+6m+9-m2+6m-9
12m
Formula: (a+b)2= a2+2ab+b2
Formula 2: (a-b)2=a2 -2ab+b2
f) (x + 2)(x – 2)(x – 5)(x + 5)
x2-4+x2-25
x4-29x2+100
Formula: (a+b)(a-b) =a2-b2
h) (b + 1)4
b4+4b3+6b2+4b+1
Formula:
producto de un binomio suma
(a+b)2=a2+2ab+b2
j) (x5y-1,2x)2 =
X10y2-2x5y1,2x+1,44x
X10y2-2,4x6y+1,44x
Formula:producto de binomio de una resta
(a-b)2=a2-2ab+b2
l)Halla el valor de m2+n2,si mn=3 y m+n=7/2
M2+n2=(m+n)2 = m2+2mn+n2
Mn=3=m2+6+n2
M2+6+N2
(7/2)2=+6+M2+N2
49 - 24/4=M2+N2
25/4=M2+N2
domingo, 15 de septiembre de 2013
Productos Notables (Semana 9-13 de Setiembre)
Productos Notables
Cada producto notable corresponde a una fórmula de factorización. Hay muchas fórmulas entre las que se encuentran las siguientes:
Observación: el primer producto notable se conoce también como el cuadrado del binomio suma; el segundo, como el cuadrado del binomio diferencia; y el tercero, como producto del binomio suma por el binomio diferencia.
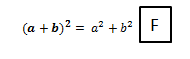
EjerciciosEscribe verdadero (V) o falso (F) en cada afirmación:
Esta afirmación es falsa ya que al resolverla usando la fórmula del cuadrado de la suma de dos términos que sería elevar el primer término al cuadrado más el doble del producto de ambos términos más el segundo término elevado al cuadrado, no te da el resultado dado que era el primer término elevado al cuadrado más el segundo término elevado al cuadrado.
En esta pregunta te piden hallar el área de este cuadrado y que cada lado vale x+2 entonces para hallar el área puedes multiplicar lado x lado o lado elevado al cuadrado ya que sería lo mismo. Si lo elevas al cuadrado podrías usar la fórmula del cuadrado de la suma de dos términos y sería más fácil hallar la respuesta.

Resuelve:
Para resolverlo debes elevar el primer término al cuadrado menos el segundo término al cuadrado.
Para resolverla primero multiplicamos el primer término por sí mismo porque está elevado al cuadrado. Luego, multiplicamos el primer término por el segundo y después lo multiplicamos por 2. Finalmente, elevamos el segundo término al cuadrado y es así como llegamos al resultado final.
Calcula mentalmente:
Simplifica las siguientes expresiones:
Resuelve:
Suscribirse a:
Comentarios (Atom)

































